شراء الخدمة الآن
شراء الخدمة

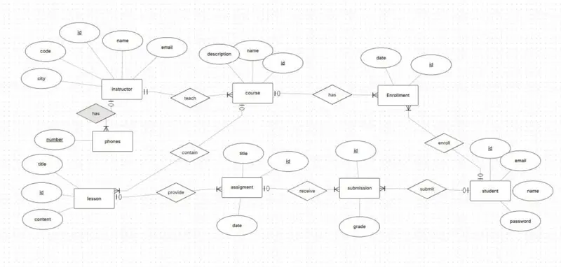
أقدم خدمة تصميم وتطوير قواعد البيانات باستخدام Microsoft SQL Server، مع بناء هيكل قاعدة بيانات منظم يسهل إدارة البيانات والتعامل معها. أقوم بتحليل فكرة المشروع ثم تصميم ERD (Entity Relationship Diagram) يوضح الكيانات والعلاقات، وبعد ذلك تحويله إلى قاعدة بيانات فعلية مع إنشاء الجداول وربطها بالعلاقات المناسبة وكتابة كود SQL منظم وجاهز للتنفيذ. تشمل الخدمة إنشاء الجداول (Tables)، تحديد المفاتيح الأساسية والخارجية (Primary & Foreign Keys)، تنظيم الأعمدة وأنواع البيانات، وإمكانية إضافة عناصر مثل Views و Stored Procedures عند الحاجة. الخدمة الأساسية تشمل إنشاء حتى 4 جداول مع العلاقات الأساسية وتسليم ملفات المشروع بشكل منظم وسهل الاستخدام. أحرص دائمًا على تقديم عمل واضح ومنظم مع سرعة التواصل وإمكانية التعديل البسيط حتى الوصول للنتيجة المطلوبة.

شراء الخدمة الآن
شارك
بطاقة الخدمة
التقييمات
سعر الخدمة
5.00 $
مدة التسليم
1 أيام
بائع الخدمة
شراء الخدمة الآن
شارك
مركز المساعدة