تسجيل صوتي
Loading...
×
إرسال التسجيل
إبلاغ
هذا المحتوى مزعج
هذا المحتوى سبام Spam او وهمي
هذا المحتوى مخالف لشروط المنصة
تراجع
إبلاغ
تصفح المشاريع
تصفح المنفذين
تصفح الأعمال
تصفح الخدمات
مجتمع نفذلي
تغيير الوضع
الدليل الإرشادي
الدعم الفني
عرض المزيد
ضمان الحقوق
التسويق بالعمولة
الإسئلة الشائعة
مدونة نفذلي
سياسة الخصوصية
شروط الاستخدام
إضافة مشروع
الخدمات
الأعمال
المشاريع
المنفذين
دخول
حساب جديد
تسجيل
تسجيل دخول
تغيير الوضع
Marwa Gameil
BackEnd developer
مصر
وظفني
نبذة عني
الأعمال
وظفني
تطوير البرمجة الخلفية لموقع
برمجة، تطوير المواقع والتطبيقات
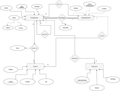
تصميم Erd لقاعدة بيانات صغيرة
برمجة، تطوير المواقع والتطبيقات
تصميم قاعدة بيانات صغيرة باستخدام SQL Server
برمجة، تطوير المواقع والتطبيقات
مرحباً أنا هنا للمساعدة
مركز المساعدة
الدليل الإرشادي
الروبوت الذكي
الدعم الفني
إنشاء حساب