شراء الخدمة الآن
شراء الخدمة

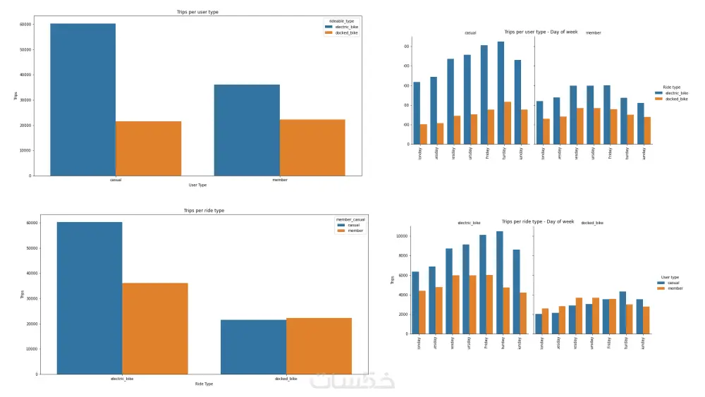
تحليل استكشافي للبيانات باستخدام لغة بايثون Python عرض القيم الإحصائية (عدد الصفوف والأعمدة, المتوسط, الانحراف المعياري, التباين). استخلاص خلاصات وفق متطلبات العمل لاتخاذ قرارات مبنية علي البيانات واقتراحات لزيادة الربحية و تقليل التكلفة الخدمة تشمل جدول واحد فقط في حدود 10 اعمده و 5000 صف (حجم 2MB) يتم تسليم المشروع في صيغ (PDF, Power Point, Jupyter Notebook)

شراء الخدمة الآن
ترشح للآخرين
الإحترافية بالتعامل
سرعة التواصل
جودة العمل
الخبرة بمجال العمل
إحترام موعد التسليم
التعامل مرة اخرى
Every Tech   منذ أسبوعين
تحليل البيانات باستخدام بايثون Python Data Analysis
بالتوفيق لك بشمهندس
أيمن إبراهيم   منذ أسبوعين
شكرا جزيلا علي التقييم سعدت بالتعامل مع حضرتك
شارك
بطاقة الخدمة
التقييمات
سعر الخدمة
5.00 $
مدة التسليم
3 أيام
خدمات مباعة
1
بائع الخدمة
شراء الخدمة الآن
شارك
مركز المساعدة