شراء الخدمة الآن
شراء الخدمة

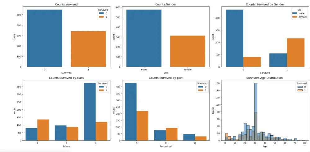
أقدم خدمة تحليل البيانات باستخدام Python لتحويل البيانات الخام إلى معلومات واضحة تساعدك على فهم بياناتك واتخاذ قرارات مبنية على تحليل دقيق. أقوم بتنظيف البيانات، تنظيمها، ومعالجتها باستخدام مكتبات تحليل البيانات مثل Pandas و NumPy، ثم استخراج النتائج والمؤشرات المهمة من البيانات. تشمل الخدمة تحليل بيانات يصل إلى 100,000 صف مع تقديم تقارير وتحليلات توضح الأنماط والنتائج الموجودة داخل البيانات، بالإضافة إلى إمكانية إنشاء رسوم بيانية لعرض النتائج بشكل واضح وسهل الفهم. الخدمة مناسبة لأصحاب الشركات، الباحثين، أو أي شخص لديه بيانات ويريد تحليلها بطريقة احترافية للحصول على رؤى تساعده في تطوير عمله.

شراء الخدمة الآن
شارك
بطاقة الخدمة
التقييمات
سعر الخدمة
5.00 $
مدة التسليم
4 أيام
بائع الخدمة
Aml Ahmed
Aml Ahmed
محلل بيانات
شراء الخدمة الآن
شارك
مركز المساعدة