شراء الخدمة الآن
شراء الخدمة

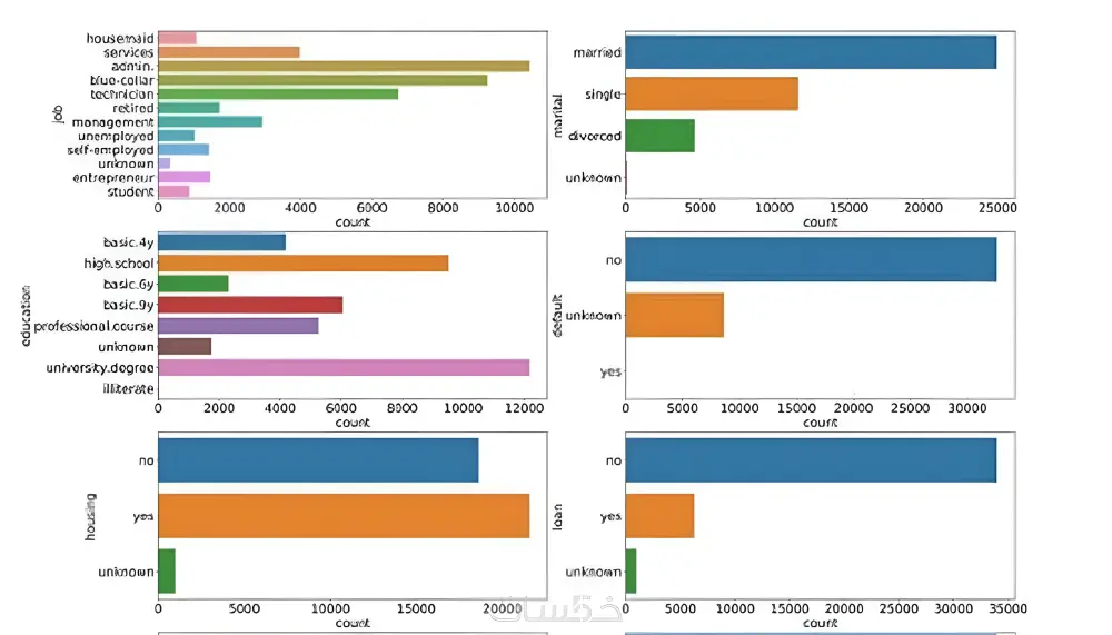
وصف الخدمة: هل لديك بيانات غير منظمة أو تحتوي على أخطاء وتحتاج لتحضيرها للتحليل أو العرض؟ سأقوم بتنظيم ومعالجة بياناتك باستخدام لغة Python وأشهر مكتباتها مثل Pandas وNumPyو Seabornو Matplotlib عبر منصة Jupyter Notebook. لتحويل ملفاتك الخام إلى بيانات نظيفة ومنسقة وجاهزة للاستخدام في التحليل أو التقارير. تنظيف البيانات بإزالة القيم المتكررة ومعالجة القيم المفقودة. إنشاء رسوم بيانية احترافية مثل: Pie Chart، Histogram، Box Plot، Scatter Plot وغيرها. أساعدك على جعل بياناتك أكثر دقة ووضوحًا، سواء كانت ملفات Excel، CSV، أو أي مصدر آخر، لتتمكن من اتخاذ قرارات أفضل مبنية على بيانات صحيحة ومنظمة. الخدمة تشمل تحليل بيانات مكونة من 14 عمودًا × 5000 صف. مميزات الخدمة: -تنظيف البيانات من القيم المفقودة والمكررة. -تنسيق الأعمدة وتصحيح أنواع البيانات. -استخراج وتحويل البيانات (Data Transformation). -إنشاء ملفات جديدة منظمة وجاهزة للتحليل أو العرض. -إمكانية إنشاء أكواد Python مخصصة لأتمتة العملية بالكامل. -توضيح الخطوات أو تقديم جلسة شرح عبر Zoom (عند اختيار التطوير المناسب). -سرعة في التنفيذ مع دقة عالية في النتائج. -الخدمة تشمل تحليل بيانات مكونة من 14 عمودًا × 5000 صف. ما الذي ستستلمة: -ملف بيانات منظم ونظيف وجاهز للتحليل (بصيغة Excel أو CSV حسب الطلب). -كود Python كامل قابل للتعديل والاستخدام مستقبلاً (عند الطلب). -تقرير بسيط يوضح التعديلات والتحسينات التي تمت على البيانات. -ملاحظات أو توصيات لتحسين جودة البيانات في المستقبل.

شراء الخدمة الآن
شارك
بطاقة الخدمة
التقييمات
سعر الخدمة
10.00 $
مدة التسليم
2 أيام
بائع الخدمة
Ibrahim Salem
Ibrahim Salem
محلل بيانات
شراء الخدمة الآن
شارك
مركز المساعدة