شراء الخدمة الآن

سأقوم ببناء أنظمة ETL لمعالجة البيانات وتحليلها لشركتك

شراء الخدمة

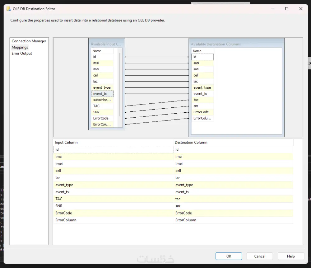
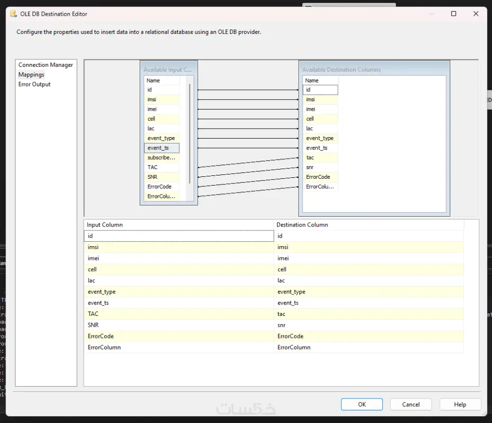
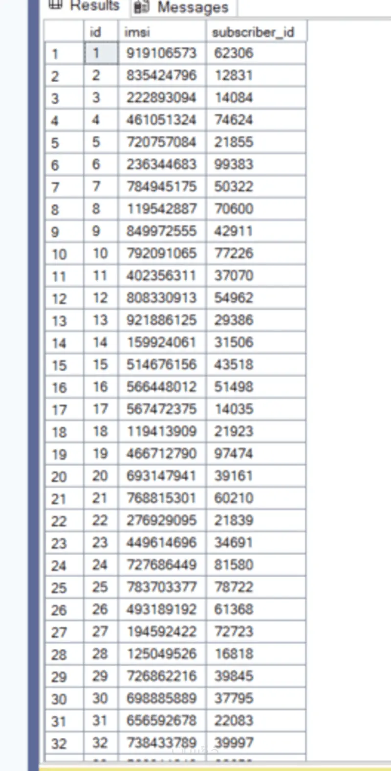
هل ترغب في أتمتة معالجة بيانات شركتك وضمان دقتها وجودتها العالية؟ سأقوم بتصميم وتنفيذ عمليات ETL (استخراج – تحويل – تحميل) احترافية لمعالجة بياناتك بكفاءة، سواء كانت من ملفات CSV أو Excel أو من قواعد بيانات مختلفة اي عدد اعمده أمتلك خبرة عملية في مشاريع ETL لشركات اتصالات وغيرها، تشمل التعامل مع مجموعات بيانات كبيرة، تنظيف البيانات، التحقق من صحتها، وتحميلها إلى قواعد بيانات متعددة مثل SQL Server وMySQL وPostgreSQL. ما ستحصل عليه من الخدمة استخراج البيانات من ملفات CSV، Excel أو مصادر أخرى. تنظيف البيانات وتحويلها والتحقق من صحتها. تحميل البيانات إلى SQL Server، MySQL، PostgreSQL أو أي قاعدة بيانات أخرى. أتمتة عمليات ETL باستخدام SSIS، Python أو Apache Spark. إعداد تقارير أو لوحات Power BI لعرض النتائج بطريقة تفاعلية وواضحة. تحميل البيانات إلى SQL Server، MySQL، PostgreSQL أو أي قاعدة بيانات أخرى أتمتة عمليات ETL باستخدام SSIS، Python، Apache Spark تسجيل وتقارير للبيانات المرفوضة أو غير الصحيحة الأدوات والتقنيات المستخدمة: Python | SQL | SSIS مقابل 30 دولار تشمل الخدمة ما يلي: معالجة ملف بيانات واحد (CSV أو Excel) بحجم يصل إلى 100 ألف صف. تنفيذ عملية ETL واحدة (استخراج – تحويل – تحميل) تشمل تنظيف وتحويل البيانات ثم تحميلها إلى قاعدة بيانات واحدة (SQL Server أو MySQL أو PostgreSQL). إمكانية إنشاء تقرير واحد في Power BI بسيط لعرض النتائج (في حال رغبة المشتري). يشمل ذلك فحص جودة البيانات والتأكد من صحتها وإرسال تقرير موجز بالنتائج. ملاحظات: في حال وجود أكثر من ملف، أو مصادر بيانات متعددة، أو تقارير Power BI إضافية، يتم الاتفاق على تكلفة إضافية حسب حجم العمل. يتم تنفيذ الخدمة خلال 3 أيام عمل من استلام البيانات والمعلومات المطلوبة بالكامل.

شراء الخدمة الآن
شارك
بطاقة الخدمة
التقييمات
سعر الخدمة
30.00 $
مدة التسليم
3 أيام
بائع الخدمة
شراء الخدمة الآن
شارك
مركز المساعدة