تفاصيل المشروع

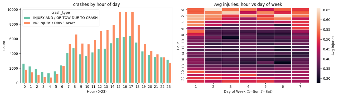
1. مقدمة عن المشروع: يهدف هذا المشروع إلى تحليل بيانات حوادث الطرق الضخمة (أكثر من 209,000 سجل) لاستخراج أنماط وتنبؤات دقيقة تساعد في تحسين السلامة المرورية. المشروع يتجاوز مجرد عرض البيانات إلى استخدام تقنيات تعلم الآلة (Machine Learning) للتنبؤ بشدة الإصابات وتصنيف أسباب الحوادث. 2. ما تم إنجازه (بناءً على الملف الحالي): معالجة البيانات (Data Cleaning): تنظيف البيانات والتعامل مع القيم المفقودة والمكررة. تحليل الخصائص (Feature Engineering): استخراج أعمدة زمنية (ساعة الحادث، اليوم، الشهر) وتحليل المتغيرات الفئوية (Categorical) والعددية. التحليل الاستكشافي (EDA): فحص أنواع الحوادث، ظروف الإضاءة، وحالة الطريق. التصنيف المبدئي: استخدام خوارزميات مثل Random Forest و Gradient Boosting و Logistic Regression للتنبؤ بنوع الحادث أو شدة الإصابة. التجميع (Clustering): محاولة تقسيم الحوادث إلى مجموعات باستخدام K-Means لفهم الأنماط المشتركة. 3. خطة العمل المقترحة (التي سأقوم بتنفيذها): المرحلة الأولى: تحسين دقة النماذج (Model Optimization): علاج مشكلة عدم توازن البيانات (Imbalanced Data) باستخدام تقنيات مثل SMOTE لضمان دقة التنبؤ بالحوادث الخطيرة (Fatalities). ضبط الأداء (Hyperparameter Tuning) للنماذج الحالية للوصول لأعلى دقة ممكنة (Accuracy & F1-Score). المرحلة الثانية: التحليل الجغرافي والزمني المتقدم: تحديد "النقاط السوداء" (Blackspots) وهي الأماكن والأوقات التي تزيد فيها احتمالية وقوع الحوادث. المرحلة الثالثة: لوحة تحكم تفاعلية (Interactive Dashboard): إنشاء لوحة تحكم باستخدام (Power BI أو Streamlit) لعرض النتائج بشكل بصري يسهل على متخذ القرار فهمه. المرحلة الرابعة: التقرير النهائي والتوصيات: تقديم تقرير مفصل يتضمن نصائح عملية (مثل: تحسين الإضاءة في شوارع معينة، أو زيادة الرقابة في ساعات محددة). 4. الأدوات المستخدمة: اللغة: Python. المكتبات: Pandas, Scikit-learn, Seaborn, Matplotlib, XGBoost. التقنيات: Supervised Learning (Classification), Unsupervised Learning (Clustering), Dimensionality Reduction (PCA). 5. لماذا تختارني لهذا المشروع؟ فهم عميق للكود: قمت بمراجعة الهيكل الحالي للمشروع وأعرف بالضبط أين تكمن المشاكل (مثل الـ NameError الموجود في خلية الـ K-Means الأخيرة) وكيفية إصلاحها. التركيز على القيمة التجارية: لا أقدم مجرد كود، بل أقدم رؤى (Insights) تساعد في تقليل تكاليف الحوادث وإنقاذ الأرواح. التزام بالدقة: ضمان أن النماذج لا تعاني من "Overfitting" وأنها قابلة للتطبيق على بيانات حقيقية جديدة.

أضف عرضك الآن
العروض المقدمة
Mohamed Hussein
منذ 6 ساعات    

السلام عليكم بشمهندسه شمس اطلعت على وصف المشروع وفهمت إن المشكلة الأساسية إنك مش محتاج مجرد تحليل بيانات، لكن محتاج تحويل Dataset ضخم (200K+ سجل) ...

Ahmed Elmer
منذ 6 ساعات    

السلام عليكم أ /شمس أنا أحمد مهندس بيانات، واطلعت على تفاصيل مشروع حضرتك بشكل دقيق، وواضح إن المشروع مش مجرد تحليل بيانات تقليدي، لكن هدفه الوصول...

عمرو عبدالرحيم
منذ 6 ساعات    

السلام عليكم انا ممكن احولك الكلام ده الي تطبيق ويبقا مشروع بدون مقابل

شارك
بطاقة المشروع
حالة المشروع
مغلق
تاريخ النشر
منذ 6 ساعات
المدة المتاحة
7 أيام
الميزانية
10 - 25 $
عدد المتقدمين
3
صاحب المشروع
شمس معروف
شمس معروف
مهندسة ذكاء اصطناعي
شارك
مركز المساعدة