تحليل شامل لنموذج بيانات سلاسل الإمداد والتوصيل (شركة Amazon) باستخدام Python تحليل شامل لنموذج بيانات سلاسل الإمداد والتوصيل (شركة Amazon) باستخدام Python تحليل شامل لنموذج بيانات سلاسل الإمداد والتوصيل (شركة Amazon) باستخدام Python تحليل شامل لنموذج بيانات سلاسل الإمداد والتوصيل (شركة Amazon) باستخدام Python تحليل شامل لنموذج بيانات سلاسل الإمداد والتوصيل (شركة Amazon) باستخدام Python تحليل شامل لنموذج بيانات سلاسل الإمداد والتوصيل (شركة Amazon) باستخدام Python تحليل شامل لنموذج بيانات سلاسل الإمداد والتوصيل (شركة Amazon) باستخدام Python تحليل شامل لنموذج بيانات سلاسل الإمداد والتوصيل (شركة Amazon) باستخدام Python تحليل شامل لنموذج بيانات سلاسل الإمداد والتوصيل (شركة Amazon) باستخدام Python تحليل شامل لنموذج بيانات سلاسل الإمداد والتوصيل (شركة Amazon) باستخدام Python تحليل شامل لنموذج بيانات سلاسل الإمداد والتوصيل (شركة Amazon) باستخدام Python تحليل شامل لنموذج بيانات سلاسل الإمداد والتوصيل (شركة Amazon) باستخدام Python
تفاصيل العمل

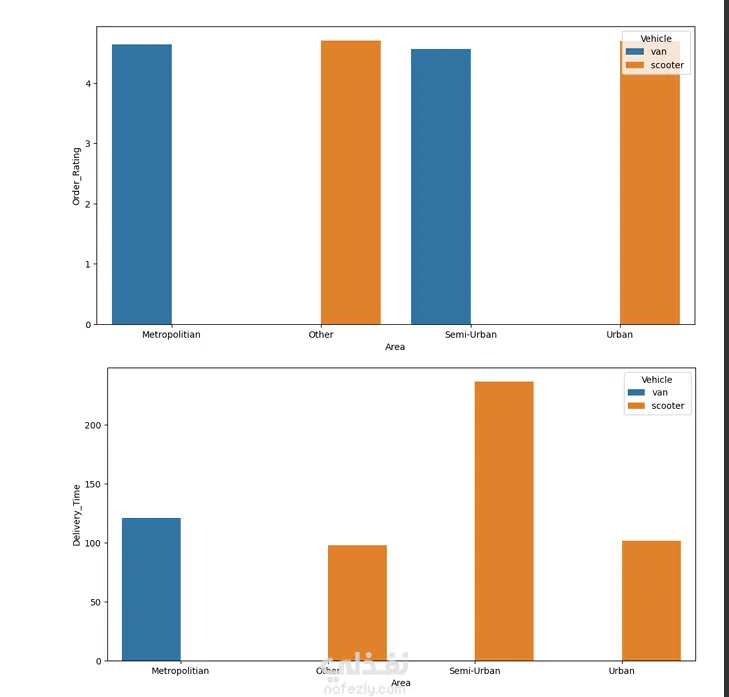
مشروع متكامل يهدف إلى تحليل كفاءة العمليات التشغيلية لخدمات التوصيل في شركة أمازون، من خلال معالجة وتحليل مجموعة بيانات ضخمة (أكثر من 43,000 سجل). يركز المشروع على تحويل البيانات الخام إلى رؤى استراتيجية تدعم اتخاذ القرار وتحسن تجربة العميل. المهام والتقنيات المستخدمة: تنظيف ومعالجة البيانات (Data Preprocessing): التعامل مع القيم المفقودة، وتصحيح البيانات غير المنطقية (مثل أعمار الوكلاء والتقييمات)، باستخدام مكتبات Python. هندسة الميزات (Feature Engineering): حساب المسافات الجغرافية الدقيقة بين المستودعات ونقاط التسليم باستخدام صيغة Haversine. تحليل المؤشرات القياسية (KPIs): استخراج مؤشرات الأداء الرئيسية التي شملت: كفاءة التوصيل: متوسط زمن التوصيل (124 دقيقة) ومتوسط السرعة والمسافة. رضا العملاء: تحليل التقييمات (متوسط 4.64/5) وتحديد العوامل المؤثرة عليها. الأداء التشغيلي: تحليل أداء أنواع المركبات (دراجات، سكوتر، فان) وتأثير الطقس وظروف المرور على السرعة. تحليل الأنماط الزمنية: تحديد ساعات الذروة (من 5 مساءً إلى 11 مساءً) والأيام الأكثر طلباً لتحسين توزيع الموارد. النتائج المحققة: الخروج بتوصيات عملية لتحسين سرعة التوصيل في أوقات الذروة، واختيار أفضل أنواع المركبات حسب المنطقة الجغرافية، مما يساهم في تقليل التكاليف التشغيلية ورفع مستوى رضا العميل

شارك
بطاقة العمل
تاريخ النشر
منذ 21 ساعة
المشاهدات
4
المستقل
Eyad Akram
Eyad Akram
مهندس بيانات
طلب عمل مماثل
شارك
مركز المساعدة