Customer Churn Analysis باستخدام Python وتحليل البيانات Customer Churn Analysis باستخدام Python وتحليل البيانات Customer Churn Analysis باستخدام Python وتحليل البيانات Customer Churn Analysis باستخدام Python وتحليل البيانات Customer Churn Analysis باستخدام Python وتحليل البيانات Customer Churn Analysis باستخدام Python وتحليل البيانات Customer Churn Analysis باستخدام Python وتحليل البيانات Customer Churn Analysis باستخدام Python وتحليل البيانات Customer Churn Analysis باستخدام Python وتحليل البيانات Customer Churn Analysis باستخدام Python وتحليل البيانات
تفاصيل العمل

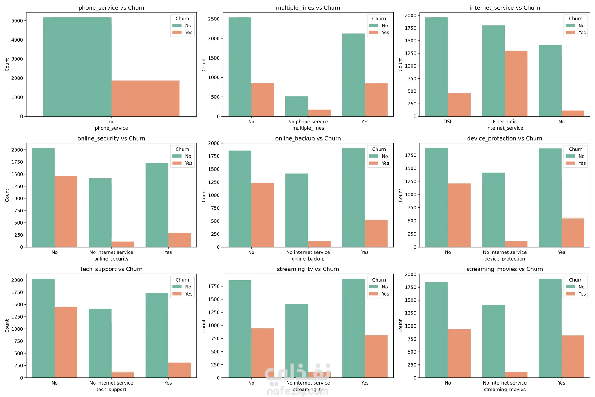
مشروع تحليل بيانات متكامل يهدف إلى فهم سلوك العملاء والتنبؤ بالعوامل التي تؤدي إلى ترك الخدمة (Customer Churn)، باستخدام أدوات تحليل البيانات في Python. ? فكرة المشروع قمت بتحليل بيانات عملاء شركة اتصالات بهدف: اكتشاف أسباب فقدان العملاء تحليل سلوك المستخدمين تقديم توصيات لتحسين الاحتفاظ بالعملاء ? ما تم تنفيذه ✔️ تنظيف البيانات (Data Cleaning) معالجة القيم المفقودة إزالة التكرار تعديل أنواع البيانات ✔️ تحليل استكشافي (EDA) تحليل توزيع البيانات دراسة العلاقة بين المتغيرات تحليل نسبة العملاء الذين غادروا ✔️ تقسيم العملاء (Segmentation) تقسيم العملاء حسب مدة الاشتراك (Tenure) تحليل متوسط الإنفاق لكل فئة ✔️ تحليل متقدم تحديد أهم العوامل المؤثرة في churn مثل: نوع العقد (Contract) طريقة الدفع (Payment Method) الفئة العمرية استخراج Insights قابلة للتطبيق ? الأدوات والتقنيات المستخدمة Python Pandas & NumPy Matplotlib & Seaborn Jupyter Notebook ? النتائج تحديد الفئات الأكثر عرضة لترك الخدمة اكتشاف أن العملاء الجدد هم الأكثر عرضة للـ churn تأثير نوع العقد بشكل كبير على الاحتفاظ بالعملاء

شارك
بطاقة العمل
تاريخ النشر
منذ يومين
المشاهدات
8
المستقل
طلب عمل مماثل
شارك
مركز المساعدة