نموذج ذكاء اصطناعي لاكتشاف أمراض القلب نموذج ذكاء اصطناعي لاكتشاف أمراض القلب نموذج ذكاء اصطناعي لاكتشاف أمراض القلب نموذج ذكاء اصطناعي لاكتشاف أمراض القلب نموذج ذكاء اصطناعي لاكتشاف أمراض القلب
تفاصيل العمل

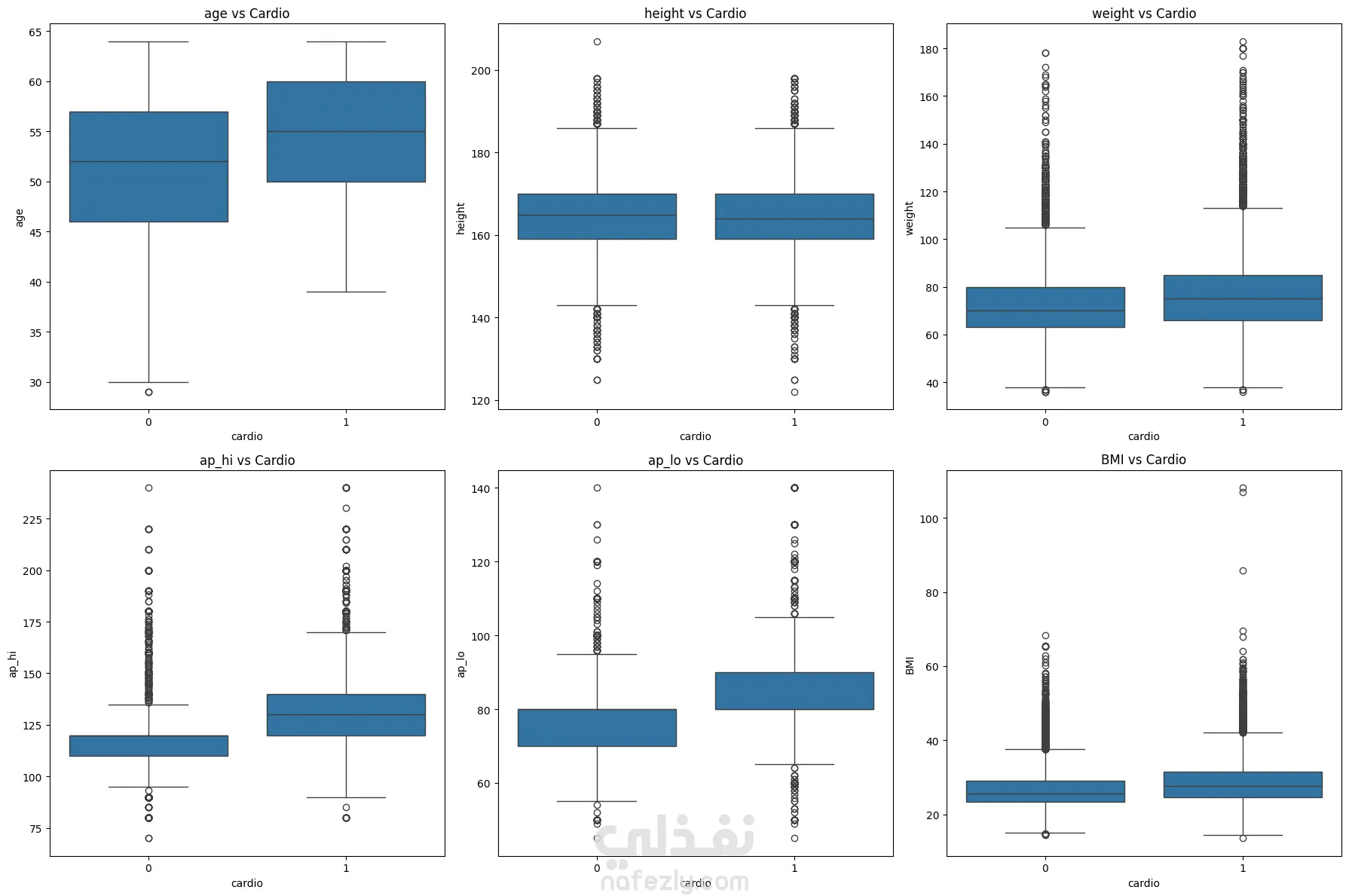
تطوير نموذج ذكاء اصطناعي لتحليل البيانات الطبية والتنبؤ بإمكانية إصابة المرضى بأمراض القلب. الهدف من المشروع هو توفير أداة مساعدة للأطباء لاتخاذ قرارات أسرع وأكثر دقة.

مهارات العمل
شارك
بطاقة العمل
تاريخ النشر
منذ 5 ساعات
المشاهدات
2
المستقل
طلب عمل مماثل
مهارات العمل
شارك
مركز المساعدة