نظام تنبؤ بأمراض القلب باستخدام التعلم الآلي وتحليل البيانات نظام تنبؤ بأمراض القلب باستخدام التعلم الآلي وتحليل البيانات نظام تنبؤ بأمراض القلب باستخدام التعلم الآلي وتحليل البيانات نظام تنبؤ بأمراض القلب باستخدام التعلم الآلي وتحليل البيانات نظام تنبؤ بأمراض القلب باستخدام التعلم الآلي وتحليل البيانات نظام تنبؤ بأمراض القلب باستخدام التعلم الآلي وتحليل البيانات نظام تنبؤ بأمراض القلب باستخدام التعلم الآلي وتحليل البيانات نظام تنبؤ بأمراض القلب باستخدام التعلم الآلي وتحليل البيانات نظام تنبؤ بأمراض القلب باستخدام التعلم الآلي وتحليل البيانات
تفاصيل العمل

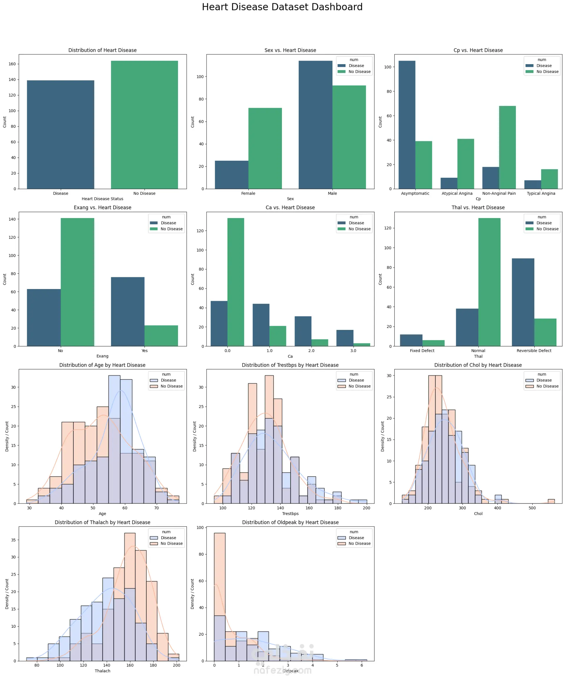
في هذا المشروع قمت ببناء نظام متكامل لتحليل البيانات الطبية والتنبؤ باحتمالية الإصابة بأمراض القلب باستخدام تقنيات تعلم الآلة. يتضمن المشروع تنفيذ Machine Learning Pipeline كامل بدءًا من معالجة البيانات وتحليلها وصولًا إلى تدريب النماذج وتقييمها ونشر التطبيق. مراحل المشروع تشمل: تنظيف البيانات ومعالجة القيم المفقودة وترميز المتغيرات إجراء تحليل استكشافي للبيانات (EDA) لفهم العلاقات بين المتغيرات تقليل الأبعاد باستخدام Principal Component Analysis (PCA) اختيار أفضل الخصائص باستخدام تقنيات مثل RFE و Chi-Square تدريب عدة نماذج تصنيف مثل: Logistic Regression Decision Tree Random Forest Support Vector Machine (SVM) تقييم النماذج باستخدام: Accuracy Precision Recall F1 Score ROC Curve تطبيق خوارزميات التجميع (Clustering) مثل: K-Means Hierarchical Clustering تحسين النماذج باستخدام GridSearchCV و RandomizedSearchCV الهدف من المشروع هو توضيح كيفية استخدام تقنيات تعلم الآلة لتحليل البيانات الطبية والمساعدة في التنبؤ بالمخاطر الصحية.

شارك
بطاقة العمل
تاريخ النشر
منذ 3 أسابيع
المشاهدات
18
المستقل
Shahd Mahmoud
Shahd Mahmoud
مهندس ذكاء اصطناعي
طلب عمل مماثل
شارك
مركز المساعدة