AI- Diabetes Health Indicator AI- Diabetes Health Indicator
تفاصيل العمل

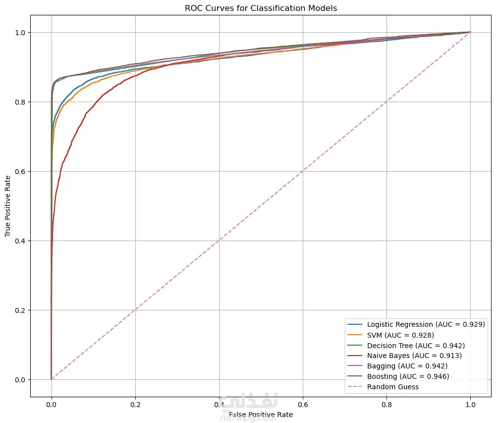
A supervised machine learning project focused on early detection of diabetes using real-world clinical data. This project compares 5 classification models to identify the most accurate and reliable approach for medical diagnosis. :Preprocessing Removed duplicate records Dropped irrelevant & leakage-prone features Handled missing values Numerical → Median Imputation Categorical → Most Frequent (Mode) Cleaned categorical text One-Hot Encoding for categorical variables Standard Scaling for numerical features Converted boolean features to integers :Machine Learning models used Logistic Regression K-Nearest Neighbors (KNN) Decision Tree Random Forest (Bagging) Gradient Boosting

شارك
بطاقة العمل
تاريخ النشر
منذ شهر
المشاهدات
28
المستقل
Rodaina Mohamed
Rodaina Mohamed
عالم بيانات
طلب عمل مماثل
شارك
مركز المساعدة