بناء نماذج تعلم الآله وتنبؤ البيانات باستخدام بايثون بناء نماذج تعلم الآله وتنبؤ البيانات باستخدام بايثون
تفاصيل العمل

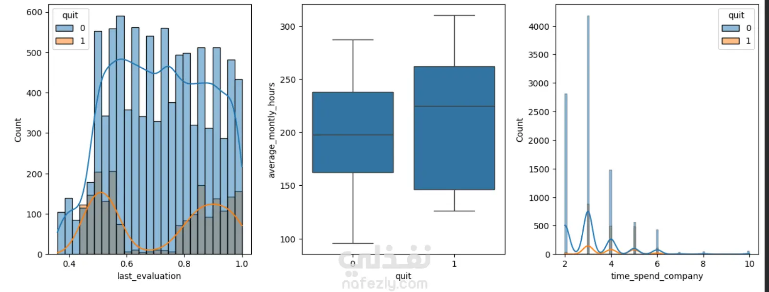
هل تملك بيانات وتبحث عن وسيلة لتحويلها إلى توقعات دقيقة تدعم قراراتك؟ كمهندسة متخصص في الذكاء الاصطناعي، أقدم لك حلولاً ذكية مبنية على أسس هندسية دقيقة. من خلال هذه الخدمة، سأقوم ببناء نموذج تعلم آلة (Machine Learning Model) احترافي مخصص لمشروعك، سواء كان للتنبؤ بسلوك العملاء، تصنيف البيانات، أو تحليل الاتجاهات المستقبلية. تشمل الخدمة: تنظيف البيانات (Data Cleaning) ومعالجتها برمجياً. تحليل البيانات الاستكشافي (EDA) لفهم العلاقات بين المتغيرات. بناء وتدريب النموذج باستخدام خوارزميات متقدمة (مثل CatBoost, Random Forest, XGBoost). خلفية هندسية: أطبق معايير الدقة الهندسية في كتابة الكود وبناء الخوارزميات. خبرة عملية: قمت ببناء أنظمة تنبؤية لمشاريع زراعية (Smart Farm) وإدارية (Employee Turnover) وحصلت على تقدير امتياز (A+). أدوات احترافية: أستخدم Python و Google Colab لضمان أفضل أداء.

بطاقة العمل
تاريخ النشر
منذ 3 أسابيع
المشاهدات
27
المستقل
Merna Mohamed
Merna Mohamed
مهندسه تعلم الاله
طلب عمل مماثل
مركز المساعدة