تحليل بيانات مرض السكري diabetes  وبناء نموذج تنبؤ باستخدام Python وMachine Learning تحليل بيانات مرض السكري diabetes  وبناء نموذج تنبؤ باستخدام Python وMachine Learning تحليل بيانات مرض السكري diabetes  وبناء نموذج تنبؤ باستخدام Python وMachine Learning تحليل بيانات مرض السكري diabetes  وبناء نموذج تنبؤ باستخدام Python وMachine Learning تحليل بيانات مرض السكري diabetes  وبناء نموذج تنبؤ باستخدام Python وMachine Learning
تفاصيل العمل

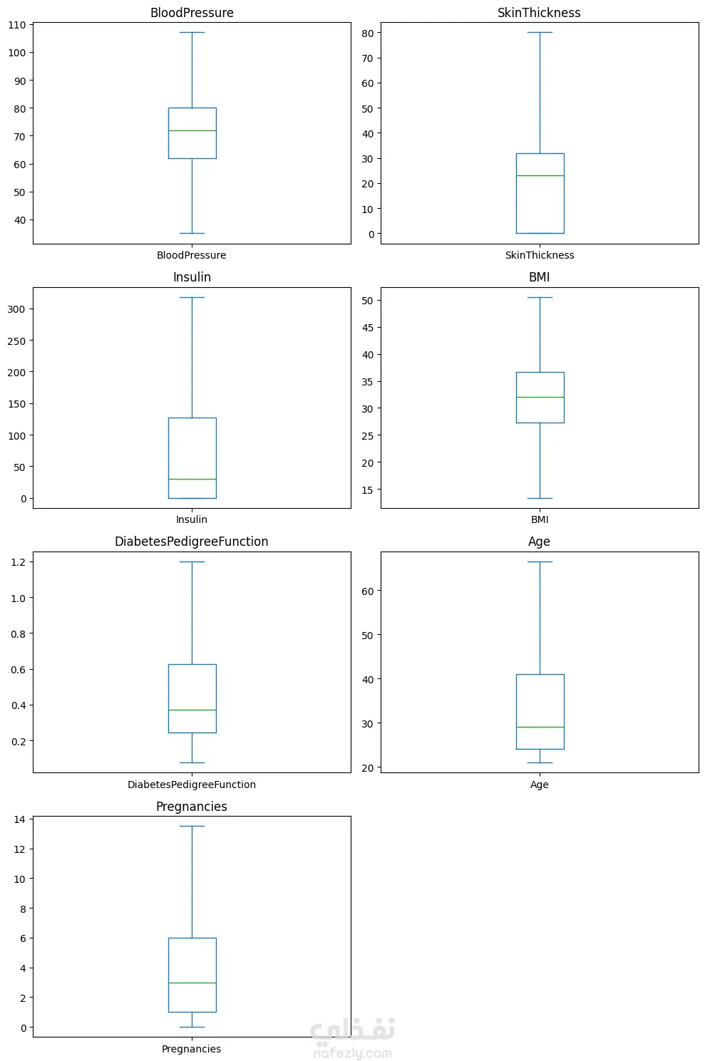
مشروع يركز على تحليل البيانات الطبية لمرض السكري باستخدام تقنيات علم البيانات وأدوات تحليل البيانات في Python. يتضمن العمل فهم البيانات الطبية لـ 768 مريضة، واكتشاف مشاكل جودة البيانات مثل القيم المفقودة والقيم غير المنطقية والقيم الشاذة، ثم إجراء تحليل استكشافي شامل (EDA) لفهم توزيع المتغيرات والعلاقات بينها. يشمل التحليل دراسة المؤشرات الصحية مثل الجلوكوز، ضغط الدم، مؤشر كتلة الجسم (BMI)، الأنسولين، والعمر لاكتشاف الأنماط المرتبطة بمرض السكري. كما يتضمن المشروع تنظيف البيانات، المعالجة المسبقة، التحليل الإحصائي، وتصور البيانات لاستخراج رؤى تدعم اتخاذ القرار وبناء نماذج تحليلية لاحقاً.

شارك
بطاقة العمل
تاريخ النشر
منذ 3 أسابيع
المشاهدات
26
المستقل
Yusuf Mohamed
Yusuf Mohamed
مهندس ذكاء اصطناعي
طلب عمل مماثل
شارك
مركز المساعدة