Heart Disease Prediction Heart Disease Prediction Heart Disease Prediction Heart Disease Prediction Heart Disease Prediction Heart Disease Prediction
تفاصيل العمل

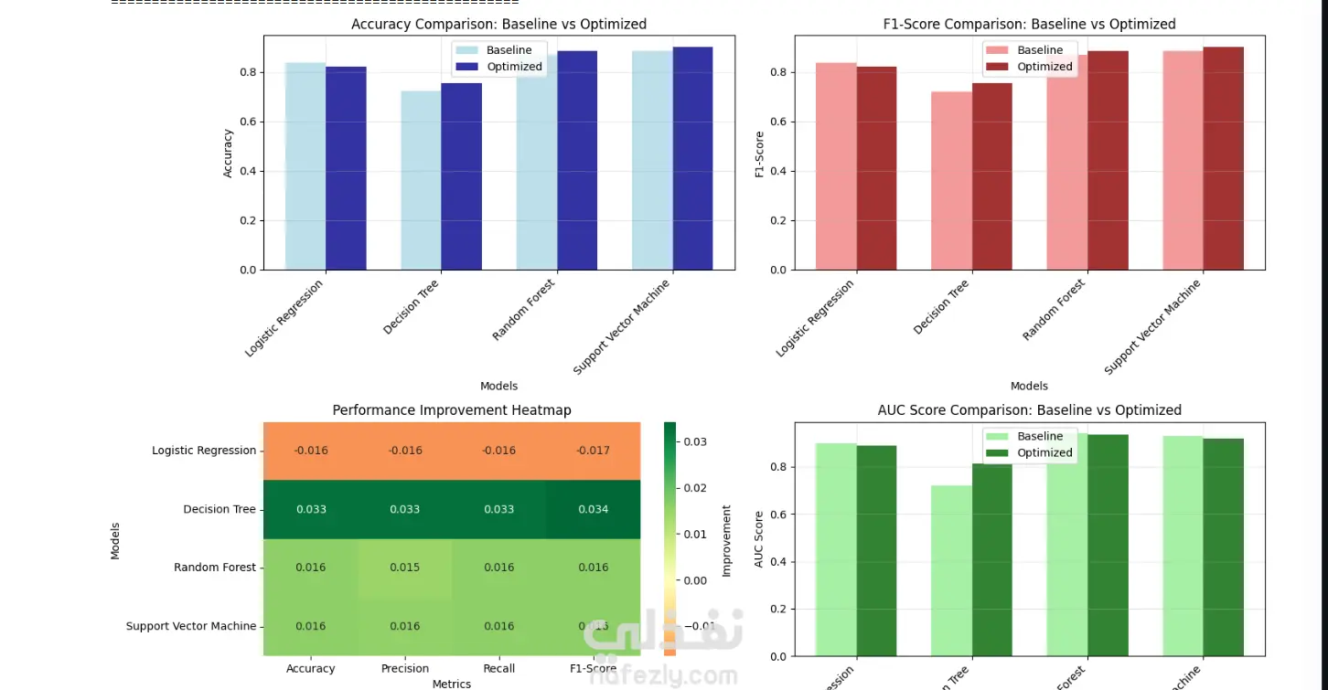
Data preprocessing & cleaning – making the dataset ready for analysis Dimensionality reduction with PCA – simplifying data while keeping critical information Feature selection – identifying the most important predictors for heart disease Supervised learning models – building and testing classification models Unsupervised learning techniques – exploring patterns and hidden structures in the data Hyperparameter tuning – fine-tuning models for better accuracy Interactive UI with Streamlit – creating a user-friendly interface to interact with predictions Deployment – taking the model from local development to a live environment

شارك
بطاقة العمل
تاريخ النشر
منذ 3 أسابيع
المشاهدات
20
المستقل
طلب عمل مماثل
شارك
مركز المساعدة