مشروع التنبؤ بأداء الطلاب وتحليل النتائج مشروع التنبؤ بأداء الطلاب وتحليل النتائج مشروع التنبؤ بأداء الطلاب وتحليل النتائج
تفاصيل العمل

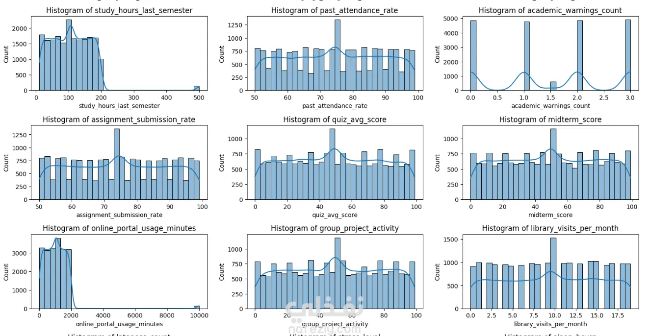
عملت على تحليل بيانات تضم أكثر من 20,000 سجل لبناء نماذج تنبؤ وتصنيف (Regression, Binary & Multiclass Classification). كما قمت بتطوير لوحة تحكم تفاعلية باستخدام Streamlit لعرض النتائج ومقارنة أداء النماذج بشكل مرئي وسهل. الأدوات المستخدمة: Python، scikit-learn، Streamlit، Data Analysis

شارك
بطاقة العمل
تاريخ النشر
منذ شهر
المشاهدات
36
المستقل
Ahmed Amgad
Ahmed Amgad
مهندس ذكاء اصطناعي
طلب عمل مماثل
شارك
مركز المساعدة