توقع الانتماء الحزبي لأعضاء الكونجرس باستخدام التعلم الآلي. توقع الانتماء الحزبي لأعضاء الكونجرس باستخدام التعلم الآلي. توقع الانتماء الحزبي لأعضاء الكونجرس باستخدام التعلم الآلي. توقع الانتماء الحزبي لأعضاء الكونجرس باستخدام التعلم الآلي.
تفاصيل العمل

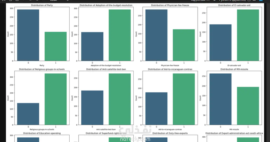
هدف المشروع: تطوير نموذج تعلم آلي (Machine Learning) للتنبؤ بالانتماء الحزبي لأعضاء الكونجرس الأمريكي (ديمقراطي/جمهوري) بناءً على سجلات تصويتهم في قضايا مفصلية. معالجة البيانات (Data Preprocessing): تنظيف البيانات ومعالجة القيم المفقودة (NaN) وغير المعروفة (؟) باستخدام طريقة الـ Mode Imputation للحفاظ على حجم البيانات ومنع حدوث Underfitting. استبعاد الأعمدة ذات القيم المفقودة العالية جداً مثل (Handicapped-infants و Crime) لضمان جودة النموذج. توحيد وتصحيح التسميات في العمود المستهدف (Target Column) لضمان دقة التصنيف. هندسة البيانات (Feature Engineering): تحويل المتغيرات الفئوية (Categorical Variables) إلى صيغة رقمية مناسبة للنمذجة. إجراء تحليل الارتباط (Correlation Analysis) وحذف المتغيرات المتكررة (Redundancy) مثل 'Immigration' و 'Water-project' لتقليل تعقيد النموذج. النمذجة والنتائج: استخدام تقنية الـ Stacking Ensemble Model لتحسين دقة التوقعات، مما أدى للوصول إلى دقة نهائية بلغت 96%. تحليل أهمية الميزات (Feature Importance)، حيث تبين أن التصويت على (Physician-fee-freeze) و (Adoption-of-the-budget-resolution) هما أقوى المؤشرات على التوجه الحزبي.

شارك
بطاقة العمل
تاريخ النشر
منذ 3 أسابيع
المشاهدات
13
المستقل
طلب عمل مماثل
شارك
مركز المساعدة