bank churn bank churn
تفاصيل العمل

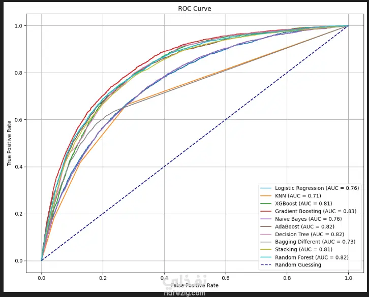
طوّرتُ نموذجًا للتعلم الآلي للتنبؤ بتسرب العملاء باستخدام مجموعة بيانات بنكية تتضمن خصائص متنوعة للعملاء، مثل: credit score, age, and loan statuses • قمتُ بمعالجة البيانات مسبقًا من خلال معالجة القيم الشاذة، وتحديدًا في عمود "credit score"، باستخدام خوارزمية Isolation Forest مع مستويات تلوث مُحسّنة للحفاظ على المزيد من البيانات وتحسين أداء النموذج. • طبّقتُ logistic Regression للتصنيف، محققًا دقة عالية دون استخدام SMOTE على بيانات الاختبار. عالجتُ مشكلات الoverfitting من خلال اختيار الميزات المناسبة وتوسيع نطاقها باستخدام PowerTransformer وRobustScaler. • أنشأتُ رسومًا بيانية تفاعلية لعرض احتمالية التسرب بناءً على عوامل رئيسية مثل الدرجة الائتمانية، وحالة القروض، وعمر العميل مما يوفر رؤى قابلة للتنفيذ لفهم الأنماط الكامنة وراء تسرب العملاء. • نشرتُ الحل كتطبيق ويب تفاعلي باستخدام Streamlit، مما يسمح بتوقعات فورية لتسرب العملاء بناءً على مدخلات المستخدم

شارك
بطاقة العمل
تاريخ النشر
منذ 3 أسابيع
المشاهدات
37
المستقل
طلب عمل مماثل
شارك
مركز المساعدة