التنبؤ بتسرب العملاء باستخدام تعلّم الآلة التنبؤ بتسرب العملاء باستخدام تعلّم الآلة التنبؤ بتسرب العملاء باستخدام تعلّم الآلة التنبؤ بتسرب العملاء باستخدام تعلّم الآلة التنبؤ بتسرب العملاء باستخدام تعلّم الآلة التنبؤ بتسرب العملاء باستخدام تعلّم الآلة التنبؤ بتسرب العملاء باستخدام تعلّم الآلة
تفاصيل العمل

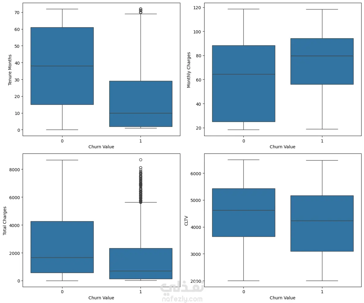
قمتُ بتنفيذ مشروع التنبؤ بتسرب العملاء باستخدام تقنيات تعلّم الآلة، حيث يهدف المشروع إلى مساعدة الشركات على التنبؤ بالعملاء المعرضين لترك الخدمة، مما يساهم في تحسين استراتيجيات الاحتفاظ بالعملاء وزيادة الأرباح. مراحل تنفيذ المشروع: فهم مشكلة العمل وتحليل بيانات العملاء. تنظيف البيانات ومعالجة القيم المفقودة. التحليل الاستكشافي للبيانات (EDA) لفهم سلوك العملاء. تجهيز البيانات للنمذجة (Encoding & Scaling). بناء وتدريب نماذج تعلّم آلة متعددة. تقييم أداء النماذج باستخدام مقاييس مناسبة. اختيار النموذج الأفضل وتحسين أدائه. الأدوات والتقنيات المستخدمة: لغة البرمجة Python مكتبات: Pandas، NumPy، Matplotlib، Seaborn، Scikit-learn خوارزميات تعلّم الآلة (مثل: Logistic Regression، Decision Tree، Random Forest) مخرجات المشروع: نموذج قادر على التنبؤ باحتمالية تسرب العملاء. تحليل شامل لعوامل التسرب المؤثرة. تقارير ورسوم بيانية توضح النتائج. كود نظيف ومنظم قابل لإعادة الاستخدام. هذا المشروع يعكس قدرتي على تحليل بيانات الأعمال، وبناء نماذج تعلّم آلة، وتقديم حلول عملية تساعد الشركات على اتخاذ قرارات مبنية على البيانات.

شارك
بطاقة العمل
تاريخ النشر
منذ 4 أسابيع
المشاهدات
17
المستقل
طلب عمل مماثل
شارك
مركز المساعدة