image classification and processing image classification and processing image classification and processing image classification and processing image classification and processing image classification and processing image classification and processing
تفاصيل العمل

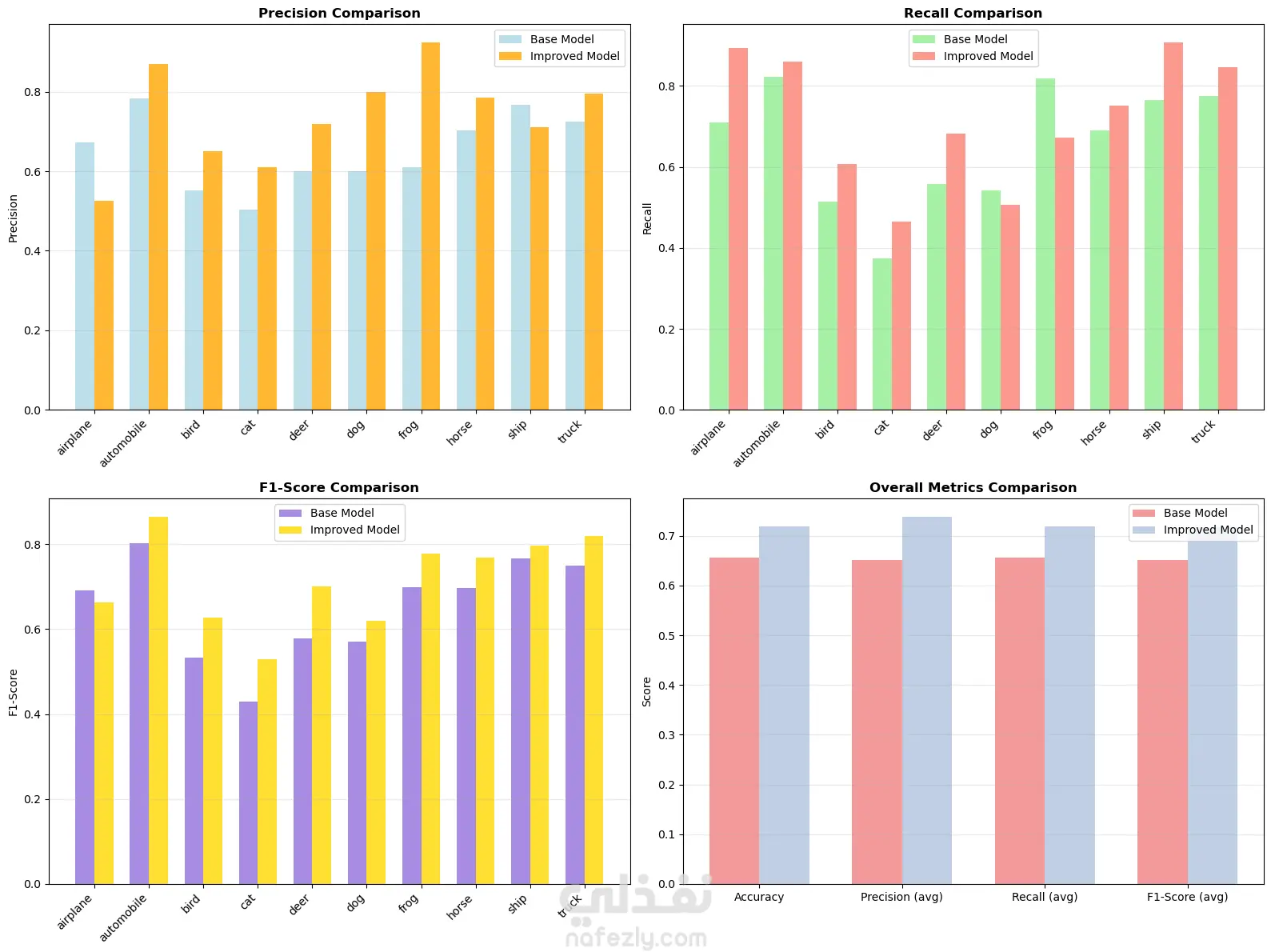
في هذا المشروع قمت ببناء نموذجين مختلفين لتصنيف الصور من مجموعة بيانات CIFAR-10 التي تحتوي على 60,000 صورة مقسمة إلى 10 فئات مختلفة مثل الطائرات، السيارات، الطيور، والقطط. النموذج الأول: نموذج أساسي بسيط يتكوّن من عدة طبقات Convolutional وPooling متبوعة بطبقات Dense لتصنيف الصور. تم تدريبه على البيانات وتم عرض دقته على مجموعة الاختبار. النموذج الثاني (المحسَّن): تم تحسين النموذج بإضافة طبقات أكثر عمقًا مثل Dropout وBatch Normalization، بالإضافة إلى ضبط معاملات التعلم لتحسين الأداء وتقليل التعميم الزائد (Overfitting). تمت مقارنة نتائج النموذجين من حيث الدقة ومعدل الخطأ، وأظهر النموذج المحسَّن دقة أعلى بشكل ملحوظ. الهدف من المشروع: توضيح خطوات بناء وتحسين نموذج تصنيف صور باستخدام الشبكات العصبية الالتفافية (CNN) بداية من النموذج البسيط وحتى نموذج أكثر كفاءة، مع عرض الفروقات في الأداء بينهما.

شارك
بطاقة العمل
تاريخ النشر
منذ 5 أشهر
المشاهدات
162
المستقل
Youssef Ezzat
Youssef Ezzat
مهندس برمجيات
طلب عمل مماثل
شارك
مركز المساعدة