تحليل البيانات باستخدام Tableau تحليل البيانات باستخدام Tableau تحليل البيانات باستخدام Tableau تحليل البيانات باستخدام Tableau تحليل البيانات باستخدام Tableau
تفاصيل العمل

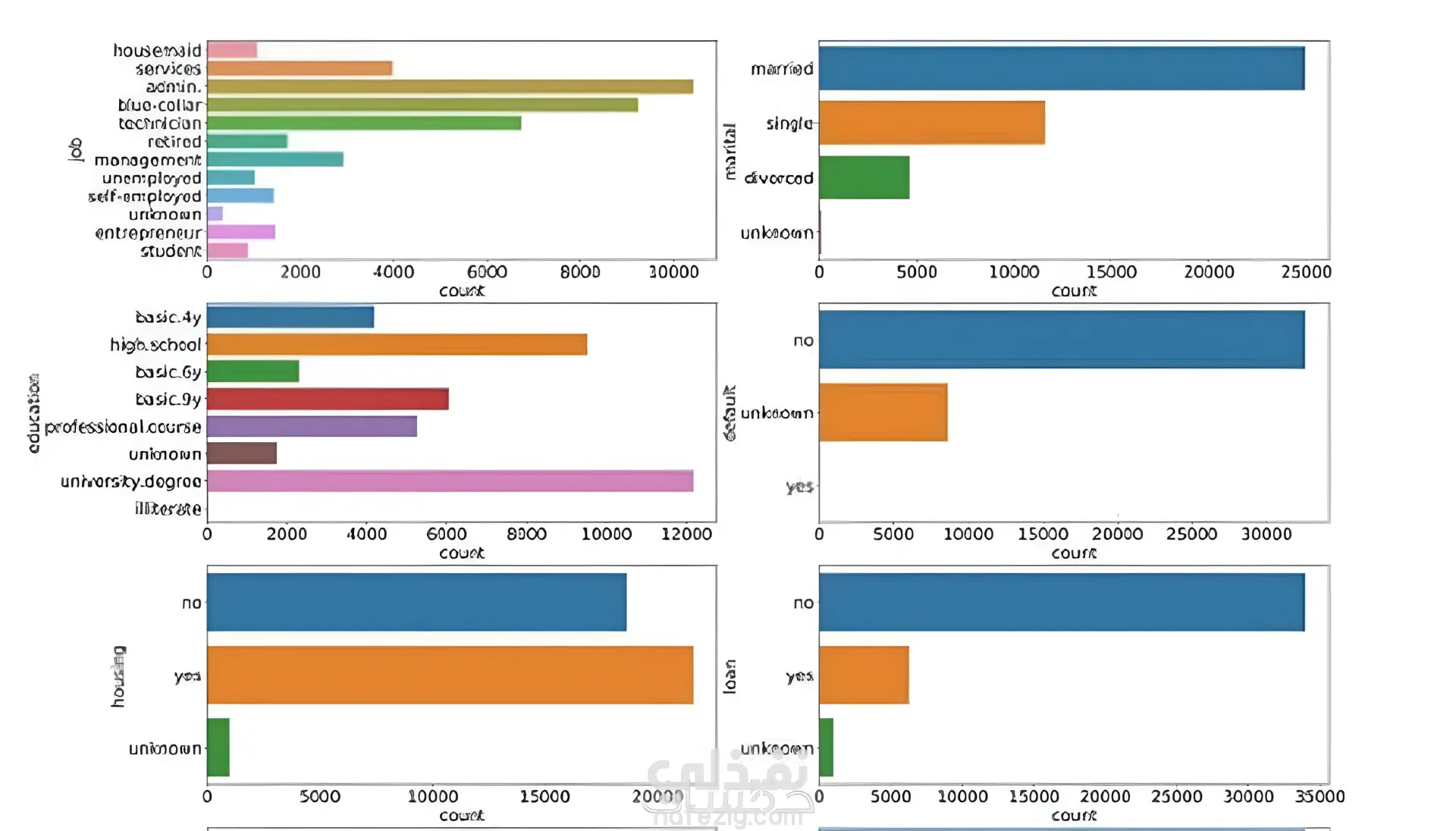
وصف الخدمة هل ترغب في تحويل بياناتك إلى لوحات تفاعلية مذهلة تساعدك على اتخاذ قرارات دقيقة؟ سأقوم بتحليل بياناتك باستخدام Tableau لتصميم Dashboard احترافية تعرض مؤشرات الأداء (KPIs) والتحليلات بطريقة جذابة وواضحة. معالجه وتحضير البيانات: لضمان دقة التحليلات. بناء نماذج بيانات قوية: لربط مصادر البيانات المختلفة. تصميم لوحات تحكم تفاعلية تحتوي علي 6 رسوم بيانيه: لعرض البيانات بشكل جذاب وسهل الفهم. إنشاء تقارير تفاعلية: لتقديم نتائج التحليل بشكل احترافي. سواء كانت بياناتك في Excel أو Google Sheets أو قواعد بيانات — سأحولها إلى لوحة ذكية تُمكِّنك من فهم كل ما يحدث في مشروعك أو شركتك بنقرة واحدة فقط. مميزات الخدمة -تصميم لوحة تفاعلية احترافية باستخدام Tableau -عرض التحليلات بشكل بصري وسهل الفهم -استخدام ألوان متناسقة ومؤشرات واضحة -تنظيف وتجهيز البيانات قبل التحليل -تضمين فلاتر وعناصر تفاعلية لسهولة الاستكشاف -إمكانية التخصيص لتناسب مجالك (مبيعات – تسويق – مالية – موارد بشرية – إلخ) -تسليم العمل بجودة عالية وفي الوقت المحدد -تصميم لوحات تحكم تفاعلية تحتوي علي 6 رسوم بيانيه: لعرض البيانات بشكل جذاب وسهل الفهم. ملاحظات حول الخدمة: تشمل الخدمة الاساسية تحليل بيانات مكونة من16 عمودًا و6000 صف. ما الذي ستستلمة -ملف Tableau يحتوي على لوحة التحليل الكاملة -نسخة من البيانات المُنظّفة بعد التحليل -تقرير موجز يوضح النتائج وأهم المؤشرات -اقتراحات لتحسين الأداء بناءً على التحليل للبدء في تنفيذ خدمتك، يُرجى تزويدي بما يلي: -ملف البيانات (Excel / CSV / Google Sheets أو قاعدة بيانات). -نبذة عن نوع التحليل المطلوب (مثل تحليل المبيعات – الأداء المالي – العملاء – إلخ). -المؤشرات أو الجوانب التي ترغب في التركيز عليها داخل اللوحة. -أي ملاحظات إضافية بخصوص الألوان أو تصميم الداشبورد.

شارك
بطاقة العمل
تاريخ النشر
منذ 5 أشهر
المشاهدات
302
القسم
المستقل
Ibrahim Salem
Ibrahim Salem
محلل بيانات
طلب عمل مماثل
شارك
مركز المساعدة